Nächste Seite: Analogien zur elektrischem Stromkreis
Aufwärts: Grundlagen der Fluidmechanik
Vorherige Seite: Strömungsprofil
  Inhalt
Fluss = Flüssigkeitsvolumen durch Fläche pro Zeit.
Flüssigkeitsvolumen:
somit für den Fluss:
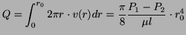
Bzgl. der Rohrströmung folgt das Hagen-Poiseuille'sche Gesetz:
 |
(1.11) |
Somit ist der Fluss proportional zur Druckdifferenz
zwischen den beiden begrenzenden Ebenen und zur vierten Potenz des Rohrradius
. Wichtig, da hierdurch Bedeutung der inneren Reibung und des dadurch entstehenden Strömungsprofils ersichtlich wird.
Michael Aschke
2000-04-14