Nächste Seite: Fluss
Aufwärts: Grundlagen der Fluidmechanik
Vorherige Seite: Viskosität
  Inhalt
Schubspannung in einem Rohr mit Radius
:
 |
(1.7) |
Verhältnis zwischen Strömungsprofil und dadurch verursachten Kraft mittels Definition der Viskosität:
 |
(1.8) |
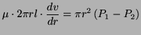
Mit Kräftegleichgewicht zwischen schubspannungsbedingter und druckdifferenzbedingter Kraft:
 |
(1.9) |
Mit Prandtl'scher Haftbedingung (
an Rohrinnenwand) ergibt sich:
 |
(1.10) |
Daraus folgt ein parabolisches Strömungsprofil in einem Rohr mit dem Radius
.
Abbildung:
Strömungsprofil in einem geraden Rohr mit kreisförmigem Querschnitt und dem Radius
 |
Michael Aschke
2000-04-14